ΣΥΝΤΑΞΕΙΣ: Το 2026 αναδεικνύεται σε έτος-ορόσημο για το ασφαλιστικό σύστημα, καθώς για πρώτη φορά μετά από χρόνια διαμορφώνονται ταυτόχρονα οι προϋποθέσεις για αυξήσεις τόσο στις κύριες όσο και στις επικουρικές συντάξεις, με βάση τα οικονομικά στοιχεία του e-ΕΦΚΑ και τις αποφάσεις που προετοιμάζει το Υπουργείο Εργασίας και Κοινωνικής Ασφάλισης.
Ρεπορτάζ: Γιάννης Παπανικολάου
News: Οι αυξήσεις αυτές δεν προκύπτουν από πολιτική εξαγγελία, αλλά από εφαρμογή του νόμου και από πραγματικά πλεονάσματα στον κλάδο επικουρικής ασφάλισης του ΕΤΕΑΕΠ.
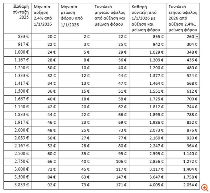
Στο επίκεντρο βρίσκονται αφενός η αύξηση 2,4% στις κύριες συντάξεις από 1.1.2026, αφετέρου το ξεπάγωμα των επικουρικών, μετά την απενεργοποίηση της ρήτρας μηδενικού ελλείμματος που ίσχυε από τον νόμο Κατρούγκαλου. Τα δύο αυτά σκέλη δημιουργούν ένα σύνθετο τοπίο, με κερδισμένους και χαμένους, αλλά και με κρίσιμους αστερίσκους για την προσωπική διαφορά.
Πώς προκύπτει η αύξηση στις κύριες συντάξεις
Η αύξηση 2,4% στις κύριες συντάξεις προκύπτει αυτοματοποιημένα από το ισχύον θεσμικό πλαίσιο και συγκεκριμένα από τον ν. 4387/2016. Υπολογίζεται βάσει του μέσου όρου πληθωρισμού και ρυθμού ανάπτυξης της οικονομίας του προηγούμενου έτους, όπως οριστικοποιούνται από την ΕΛΣΤΑΤ. Η σχετική ΚΥΑ αναμένεται να εκδοθεί μετά την ψήφιση του Προϋπολογισμού 2026.
Δικαιούχοι της αύξησης είναι οι συνταξιούχοι που δεν έχουν προσωπική διαφορά, καθώς και όσοι την έχουν ήδη μηδενίσει. Για όσους εξακολουθούν να έχουν υπόλοιπο προσωπικής διαφοράς άνω των 10 ευρώ, η αύξηση δεν θα αποτυπωθεί στο μηνιαίο ποσό, αλλά θα αντικατασταθεί από εφάπαξ οικονομικό βοήθημα.
Το πλεόνασμα που ξεκλειδώνει τις επικουρικές
Το δεύτερο και ιδιαίτερα κρίσιμο σκέλος αφορά τις επικουρικές συντάξεις. Σύμφωνα με τα επίσημα στοιχεία του e-ΕΦΚΑ, ο κλάδος επικουρικής ασφάλισης αναμένεται να κλείσει το 2025 με πλεόνασμα που υπερβαίνει τα 188 εκατ. ευρώ, σημαντικά υψηλότερο από τις αρχικές προβλέψεις. Το πλεόνασμα αυτό αποδίδεται κυρίως στην αύξηση της απασχόλησης και των εισφορών εργοδοτών και ασφαλισμένων.
Με βάση τη ρήτρα μηδενικού ελλείμματος, αυξήσεις στις επικουρικές επιτρέπονται μόνο όταν δεν υπάρχει έλλειμμα. Η ύπαρξη πλεονάσματος απενεργοποιεί τη ρήτρα και μεταφέρει την τελική απόφαση στο πολιτικό επίπεδο, δηλαδή στο Υπουργείο Εργασίας, μετά από αναλογιστική μελέτη.
Πόσα χρήματα θα δουν οι συνταξιούχοι
Η μέση επικουρική σύνταξη σήμερα ανέρχεται περίπου στα 195 ευρώ μικτά. Με μια αύξηση της τάξης του 3%, το ποσό διαμορφώνεται κοντά στα 201 ευρώ. Σε ετήσια βάση, η αύξηση αντιστοιχεί σε περίπου 72 ευρώ ανά σύνταξη, ενώ το συνολικό κόστος για το ταμείο εκτιμάται στα 93,6 εκατ. ευρώ, δηλαδή περίπου στο μισό του πλεονάσματος.
Σημαντικές διαφοροποιήσεις καταγράφονται ανά πρώην ταμείο. Υψηλότερες επικουρικές καταβάλλονται από τα ταμεία τραπεζοϋπαλλήλων, ενώ ιδιαίτερα χαμηλές επικουρικές λαμβάνουν ασφαλισμένοι πρώην τεχνικών ταμείων. Παρά τα χαμηλά ποσά, ακόμη και μικρές αυξήσεις έχουν βαρύνουσα σημασία για χαμηλοσυνταξιούχους.
Η προσωπική διαφορά και το 2027
Καθοριστικό ρόλο παίζει η σταδιακή κατάργηση της προσωπικής διαφοράς. Από το 2026 προβλέπεται συμψηφισμός τουλάχιστον του 50% της ετήσιας αύξησης, ενώ από το 2027 η προσωπική διαφορά καταργείται πλήρως. Αυτό σημαίνει ότι από εκείνο το έτος και μετά όλοι οι συνταξιούχοι θα λαμβάνουν το 100% της ετήσιας αύξησης, χωρίς εξαιρέσεις.
Τι ισχύει για ανασφάλιστους και ειδικές κατηγορίες
Η αύξηση της εθνικής σύνταξης επηρεάζει και τη σύνταξη ανασφάλιστων υπερηλίκων που καταβάλλεται από τον ΟΠΕΚΑ, καθώς και τα κατώτατα όρια σε συντάξεις χηρείας και ειδικές περιπτώσεις. Παράλληλα, αναπροσαρμόζονται και τα ανώτατα όρια κύριων και επικουρικών συντάξεων.
ΠΛΗΡΩΜΕΣ ΣΥΝΤΑΞΕΙΣ ΚΑΙ ΕΠΙΔΟΜΑΤΑ: Δώρο Χριστουγέννων, Πληρωμές-εξπρές έως 22 Δεκεμβρίου 2025
Τι λένε στελέχη του υπουργείου
Σύμφωνα με πληροφορίες του vimaorthodoxias.gr, στελέχη του Υπουργείου Εργασίας και Κοινωνικών Ασφαλίσεων τονίζουν ότι στόχος είναι οι αυξήσεις να δοθούν με τρόπο που δεν θα θέτει σε κίνδυνο τη βιωσιμότητα του συστήματος, αλλά και να αποκαταστήσουν σταδιακά απώλειες της προηγούμενης δεκαετίας.
Συμπερασματικά, το 2026 φέρνει μια διπλή, αλλά όχι καθολική ανάσα για τους συνταξιούχους. Οι αυξήσεις είναι υπαρκτές, μετρήσιμες και θεσμικά κατοχυρωμένες, όμως δεν αγγίζουν όλους στον ίδιο βαθμό, αφήνοντας ανοιχτό το ζήτημα της πραγματικής αγοραστικής δύναμης.

























